Separate from book notes
Series essentially adds up the terms of a limit. It is important to note that the limit of a sequence is not the same thing as the sum of a series. For example However
For a sequence we can define the sum with elements of as the terms with And it works backwards too, where you can consider the terms of a sum as its own sequence.
is the sequence of partial sums of the series, as defined bellow. It is not just the terms of the series.
We can consider the sequence of partial sums, which is sequence defined bellow Basiclly the th element in the sequence of partial sums is the sum of the first terms in the sum.
For the sequence of partial sums would be . Each element is called a partial sum.
A series converges to if its sequence of partial sums also converges to . Likewise, if is bounded or monotone, the series is also bounded or monotone.
From the book
Continuing where we left off
Fortheremore we say a series is meaning full only if it converges or goes to an inifinity. Else we define it as meaningless.
If all the terms of the series are non-negative, then the sequence of partial sums is an increasing sequence. Thus, from the last few chapters, this either is bounded and coverges to the supremum or goes to . Because of this is always meaningful, and we say converges absolutely if converges. Absalutely convergent series are convergent.
Geometric series and P series in the book
To note, both are going from to
For geometric series
For p series converges .
For any series, if the sequence of partial sums is cauchy, i.e for any where then the series is cauchy.
Important
A series converges it is cauchy Similar to sequences
Additionally, If a series converges, then
So if you can prove that the limit of not zero, then you know it does not converge.
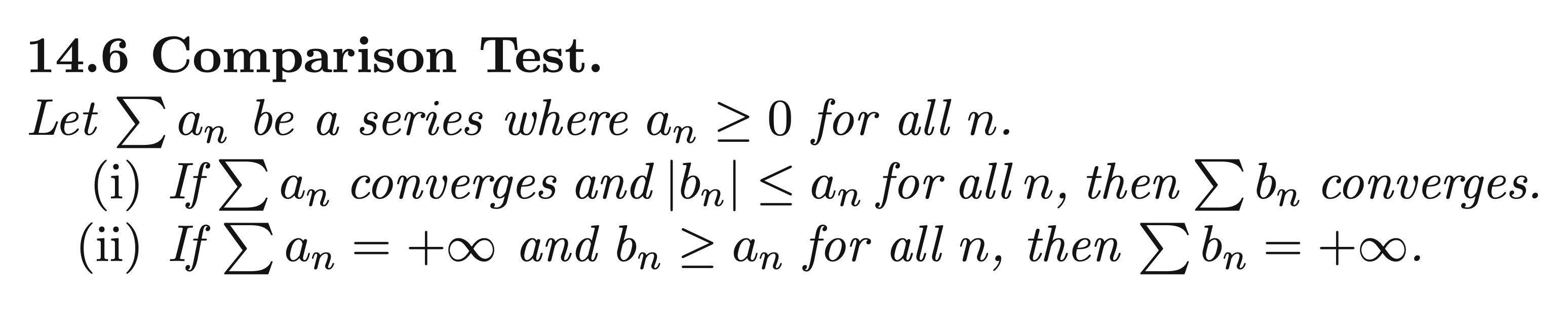
Comparison test:

Important
Absolutely convergent series are convergent.
Essentially, if converges then converges.
Ratio test
Given a series of non-zero terms
- Converges absolutely if
- Diverges if
- Gives no information for other cases.
Root Test
This one is recommended Let be a series and let
- Then converges absolutely if
- Diverges if
- If test is useless.