1. Scratch work We need to show that for any there exists some such that . Lets start off with the ending and work backwards. . Notice that for . Then it is sufficent to prove that . This is true for Proof:

  1. Let and
  2. Then, for any we have and
  3. Notice,
  4. Thus, for any we have an such that 2. finished on ipad

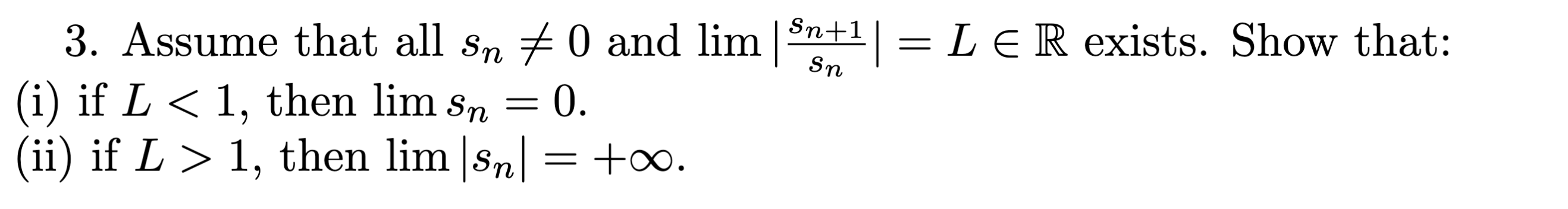
3. #todo 4. finished on ipad 5. im gonna skip because fuck induction.