Skipping the definition of a matrix, this should be familiar to you
Linear Map Matrix
For any where is the basis of and is the basis of . The matrix of with respect to these basis is the -by- matrix whose entries are defined by If the basis are not clear from context, we use notation

Did examples in notes
Addition
You add matrices by adding the respective element to each other.
Additionally, for
Similarly, scalar multiplication holds through functions too.
For example, for some and
Vector space
Matrices create a vector space.
Notation
The set of all -by- matrices is denoted with entries in
is a vector space over with dimention
With addition and scaler multiplication defined above, creates a vector space over with dimension Proof:
- todo-weak prove that its a vector space over F
- Dimension is easy, the basis of as the set of matrices where only one element is and all other elements are . There are of such elements.
Matrix Multiplication
Created to make sure multiplication of linear maps holds. You take the row, column of the product and multiply the respective row and collum, with row from the first matrix and colum from the second. You can only multiply if the columns from the first match the rows from the second (inside numbers match.)
Stated more plainly:

You can model multiplication of functions through multiplications of matricies. IE, #todo try and understand the motivation for this.
Row and column notation (similar to programming)
takes the th row takes the th column

Column multiplication
You can multiply the matrix times the column to get the column of the final matrix. Both have same number of rows
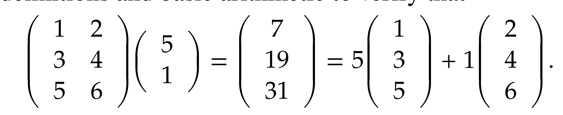
Additionally, if u are multiplying by a column matrix (n by 1), you can split up the elements and multiply each column separately.

Similar results hold for the rows of a matrix.
todo What does this one mean?

#todo use the above statement to find the column and row rank of the following matrix. you can legit just take the span of the columns and rows btw. Also remember the dimension of the matrix to figure out how to get the right size dimension / basis. Like for rows, they can be max 2 in

todo after solving the problem, why is it important for one to not be scalar multiple of another? does it show linear dependance in some way?
Transpose is taken by making every . Additionally this means a -by- matrix becomes an -by- matrix.
Find the transpose of

For all matrices column rank is the same as row rank. Complete the proofs to find out why todo (last 2 proofs) before def
Finally, we just denote rank
Rank Definition
The rank of a matrix is just the column rank of the matrix, i.e. the dimension of the span of the columns.